Kunci Jawaban Update

Rppm Tema Diri Sendiri Subtema Identitasku


Rencana Pelaksanaan Pembelajaran Mingguan Rppm Taman Kanak Kanak Tk Kurikulum 2013
id.scribd.com

Rkh Tema Tanaman Guru Ilmu Sosial
www.ilmusosial.id

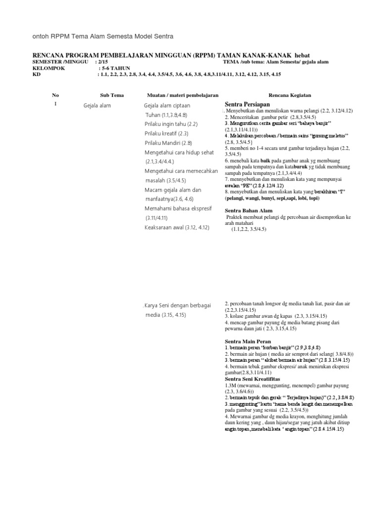
Rpph Minggu 5 Tema Negaraku Hari Hari Besar
id.123dok.com

1 Rppm Tema Diriku
pdfslide.tips

Rppm Tk A
www.slideshare.net

Rencana Pelaksanaan Pembelajaran Ppt Download
slideplayer.info

Rpph Tema Buah Buahan Guru Ilmu Sosial
www.ilmusosial.id

Rpph Paud Tema Diriku Sub Tema Identitasku Guru Paud
www.gurupaud.my.id

Contoh Rkh Rpph Paud Tema Diri Sendiri Tubuhku K13 Paud Jateng
www.paud.id

2

Pdf Meningkatkan Motorik Kasar Melalui Bermain Bola Kelompok B Di Tk Nusantara Kec Marangkayu Tahun Pembelajaran 2017 2018
www.researchgate.net

Perencanaan Pembelajaran Paud
www.slideshare.net

1 Rppm Tema Diriku
id.scribd.com

Rpph Tk B Smt1 Minggu 01 Identitas Diri Docx Course Hero
www.coursehero.com

Identitasku Kelompok 5 6 Tahun Semester Minggu 1 1 Tema Diriku Sub Tema Identitasku
id.scribd.com

Rpph Paud Jateng Guru Paud
www.gurupaud.my.id

Materi Pelatihan Guru Implementasi Kurikulum 2013 Materi Pelatihan Implementasi Kurikulum 2013 Paud Pdf Document
fdokumen.com

1 Rppm Tema Diriku Pdf Document
fdokumen.com

Buku Panduan Pendidik Paud
www.slideshare.net

Rpph Paud Tema Diriku Subtema Tubuhku Guru Paud
www.gurupaud.my.id

Perencanaan Pembelajaran Paud
www.slideshare.net

I M Happy Now In Paud Contoh Rpph Paud Usia 3 4 Th K13
pgkutempuran.blogspot.com

Rpph Tema Diri Sendiri Guru Ilmu Sosial
www.ilmusosial.id

Rpph Tema Keluargaku Subtema Anggota Keluargaku Guru Ilmu Sosial
www.ilmusosial.id

2

Rpph Paud Tema Kendaraan Guru Paud
www.gurupaud.my.id

Rpph Paud Tema Kebutuhanku Sub Tema Makanan Dan Minuman Seputar Minuman
berbagaiminuman.blogspot.com

Rpph Tema Tanaman
id.scribd.com

Tema Dan Sub Tema Paud Uful Maslikhah
ufulmaslikhah.wordpress.com

1 Aku Hamba Allah Pdf
id.scribd.com

Rpph Minggu 9 Tema Binatang Binatang Air
id.123dok.com

Cara Membuat Tema Pembelajaran Paud Anak Paud Bermain Belajar
paud-anakbermainbelajar.blogspot.com

Rpph Tk B Smt1 Minggu 03 Lima Panca Indra
id.scribd.com

Xls Rppm Baru Smt 1 Kel B Igra Xlsx Sing Nonton Academia Edu
www.academia.edu

Program Paud
dokumen.tips

Rencana Kegiatan Harian Balok
www.slideshare.net

Video Pembelajaran Paud Identitasku Disertai Rppm Youtube
www.youtube.com

Https Encrypted Tbn0 Gstatic Com Images Q Tbn 3aand9gcso 6bempkrnkroh Kcb68w3jlpqt Ydbz0xsnecxen58tu6j0g Usqp Cau
encrypted-tbn0.gstatic.com

Https Core Ac Uk Download Pdf 225831593 Pdf

Rpph Semester 1 Paud Tk A Usia 4 5 Tahun Lengkap Semua Tema Link Paud
linkpaud.blogspot.com

Rpph Paud Semester 2 Tahun 2020 Guru Paud
www.gurupaud.my.id

Modul Tk Kk C Pages 51 100 Flip Pdf Download Fliphtml5
fliphtml5.com

Rppm Kelompok Bermain Kb Kelompok Usia 4 5 Tahun Semester Genap Secercah Ilmu
secercahilmu25.blogspot.com

Rppm Paud Tema Diri Sendiri Semester 1 Kurikulum 2013 Tahun Pelajaran 2018 2019 Arsip Paud
arsip-paud.blogspot.com

Doc Rpph Minggu 1 Docx Siti Romlah Academia Edu
www.academia.edu

Contoh Rpph Paud Sentra Seni Tema Diri Sendiri Kurikulum 2013 Paud Jateng
www.paud.id

1 Rppm Tema Diriku Doc Kementerian Pendidikan Dan Kebudayaan Republik Indonesia 2014 Rencana Pelaksanaan Pembelajaran Mingguan Rppm Tema Diriku Sub Course Hero
www.coursehero.com

Rencana Kegiatan Harian Balok
www.slideshare.net

Modul Pengembangan Keprofesian Berkelanjutan Terintegrasi Penguatan Pendidikan Karakter Pdf Free Download
docplayer.info

Modul Tk Kk C Pages 51 100 Flip Pdf Download Fliphtml5
fliphtml5.com

Kurikulum 2013 Contoh Rppm Tema Diri Sendiri
belajarbarengs.web.app

2

Rpph Assalam 2017 2018
id.scribd.com

Modul Tk Kk C Pages 51 100 Flip Pdf Download Fliphtml5
fliphtml5.com

Rpph Paud Tema Diri Sendiri Semester 1 Kurikulum 2013 Tahun Pelajaran 2018 2019
duniapaud1.blogspot.com

Rpph Tema Diriku Identitasku
id.scribd.com

Education
id.pinterest.com

Rpph Tema Diriku Subtema Identitas Diri Usia
id.scribd.com

Modul Tk Kk C Pages 51 100 Flip Pdf Download Fliphtml5
fliphtml5.com

3 Lampiran Tabel Kurikulum Ra Ayomadrasah
studylibid.com

15 Trend Terbaru Contoh Rpph Identitasku Stylus Point
styluspoint.blogspot.com

Tema Semester 2 Untuk Paud
tour.siswapelajar.com

Rpph Paud K 13 5m Smt 1 Tema Diriku Identitasku
id.123dok.com

Menempel Bentuk Anggota Tubuh Rpph Paud Identitasku Subtema Identitasku Pjj Online Belajar Daring Youtube
www.youtube.com

Doc Sabtu Euis Karyati Academia Edu
www.academia.edu

Https Core Ac Uk Download Pdf 225826397 Pdf

Contoh Rkh Rpph Paud Tema Diri Sendiri Tubuhku K13 Pdf Download Gratis
docplayer.info

Buku Panduan Pendidik Paud
www.slideshare.net

Contoh Rppm Paud Tema Alat Komunikasi Kurikulum 2013 Cute766
cute766.info

Perencanaan Pembelajaran Paud
www.slideshare.net

Rpph Tk B Semester 1 Docx Rencana Pelaksanaan Pembelajaran Harian Rpph Ra Darul Ulum Puhsarang Tahun Pelajaran 2018 2019 Semester Minggu Ke Hari Ke Course Hero
www.coursehero.com

2

Disampaikan Oleh Drs Djito M Pd Bp Paud Dan Dikmas Bali Ppt Download
slideplayer.info

Rpph Tema Diriku Usia 5 6 Tahun Semester 1 Kurikulum 2013 Link Paud
linkpaud.blogspot.com

Rpph Tema Kesukaanku
id.scribd.com

Rpph Tema Diriku Usia 4 5 Tahun Semester 1 Kurikulum 2013 Link Paud
linkpaud.blogspot.com

Rpph Sentra Guru Ilmu Sosial
www.ilmusosial.id

Prosem Rppm Rpph
id.scribd.com

314140318 1 Rppm Tema Diriku Pdf
id.scribd.com

Rppm Paud Tema Diri Sendiri Semester 1 Kurikulum 2013 Tahun Pelajaran 2018 2019
duniapaud1.blogspot.com

Contoh Rpph Paud Semester 2 Tema Rekreasi Guru Paud
www.gurupaud.my.id

Mochammad Maulana Trianggono M Pd Pdf Free Download
docplayer.info

Rencana Pelaksanaan Pembelajaran Ppt Download
slideplayer.info

Modul Pengembangan Keprofesian Berkelanjutan Kelompok
studylibid.com

Rpph Diri Sendiri Guru Ilmu Sosial
www.ilmusosial.id

Rpph Paud Tema Diriku Subtema Anggota Tubuhku Minggu 3
id.123dok.com

Rencana Pelaksanaan Pembelajaran Ppt Download
slideplayer.info

Contoh Rppm Tema Lingkungan
id.scribd.com

2017 2018 Admin Harian Xls Kb Tk Katolik Kristus Raja Jalan Teratai No 2a Surabaya Program Tahunan Kelompok A Tahun Pelajaran 2017 2018 No Bulan Course Hero
www.coursehero.com

Aku Hamba Allah 1 Identitsku
id.scribd.com

Silabus Paud Usia 4 5 Tahun Guru Paud
www.gurupaud.my.id

Rpph Paud Tema Alam Semesta Sub Tema Gejala Alam Guru Paud
www.gurupaud.my.id

Xls Rppm Kelompok A Kkgra Cikalongwetan Siti Romlah Academia Edu
www.academia.edu

Rppm U4 5 Semester 1 New
id.scribd.com

Rpph Tk A Semester 1 Docx Rencana Pelaksanaan Pembelajaran Harian Rpph Ra Darul Ulum Puhsarang Tahun Pelajaran 2018 2019 2018 2019 Semester Minggu Course Hero
www.coursehero.com

Kata Pengantar Tugas Akhir Guru Paud
www.gurupaud.my.id

Download Rpph Kb Kelompok Usia 4 5 Tahun Dengan Tema Diri Sendiri Secercah Ilmu
secercahilmu25.blogspot.com

Gabung Modul Tk C Pages 51 100 Flip Pdf Download Fliphtml5
fliphtml5.com

Tema Dan Sub Tema Paud Kurikulum 2013
id.123dok.com

Contoh Rppm Tema Tanah Airku
id.scribd.com

Rpph Tk
id.scribd.com

close